Organic molecules of everyday life. 11. Frankincense and myrrh
December 2013 - January 2014, Chem 13 News Magazine
By Jenn Coggan, Nano-biomaterials senior laboratory instructor, University of Waterloo, Waterloo ON
This series of articles considers some common organic molecules that we encounter in our everyday lives. Described will be some general chemical information about the organic molecule, how it is useful to us and other interesting facts.
In honour of the time of year, I thought an article on frankincense and myrrh would be appropriate, but what exactly are these “gifts” that were bestowed upon the baby Jesus? We all know about the precious and special properties of gold but what are these other two gifts that the three Magi, or wise men, brought to Bethlehem?
Frankincense and myrrh are gum resins derived from tree sap and were prized for their alluring fragrance. Frankincense, also known as olibanum, comes from select trees in the Boswellia genus, and myrrh comes from Commiphora trees. The plants belong to the same botanical family and commonly grow on the Arabian Peninsula, in India, and in northeastern Africa.1 Two thousand years ago, these two gum resins were certainly fit gifts for a king. At the height of their popularity they were worth their weight in gold and were heavily traded.

Chemically-wise men…Happy Holidays everyone! (Thanks to editor Jean Hein for the idea!)
The Boswellia and Commiphora trees are small, gnarled, grow very few leaves and look stunted, almost like thorny shrubs. To access the aromatic resins, locals slice gashes into frankincense and myrrh trees at harvest times and collect the milky resins that ooze from their bark. Once exposed to air and sun, myrrh dries and hardens to reddish-brown pea-sized chunks, whereas frankincense dries to pale yellow, tear-shaped droplets about half that size.
Both resins have traditionally been used as incense and medicine. Frankincense has a woody, fruity smell that’s been used to perfume the homes of ancient Romans, in the rituals of ancient Egyptians and modern Catholic masses. In the ancient world, it was used medicinally to treat everything from poisoning, to diarrhea, to leprosy. We now know that the chemical composition of these natural oleo-gum-resins includes a low percentage of essential oils, a very large percentage of alcohol-soluble resins and the rest water-soluble resins. By 1980, more than 110 compounds were identified in the oil and resin fractions.2
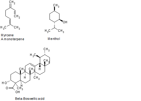
The essential oil of frankincense, produced by steam distillation of the tree resin, contains monoterpenes, sesquiterpenes, monoterpenoids, sesquiterpenoids and ketones. Terpenes are a class of molecules that typically contain either ten or fifteen carbon atoms built from a five-carbon building block called isoprene. These volatile aromatic compounds are used in incense and perfumes. Many terpenoids such as menthol (found in throat lozenges) and camphor also have medicinal values. One triterpenoid found only in frankinscence resin is called beta-boswellic acid and this is one of the principal chemicals that gives frankincense its balsamic and sweet fragrance. It has also been shown to have anti-tumour and anti-carcinogenic activity.3

Myrrh is an aromatic oleoresin consisting of sterols and volatile oils. Myrrh's aroma comes mostly from furanosesquiterpenes such as furanoeudesma-1,3-diene.4 Myrrh has a medicinal, kind of bitter, smell and was often used to dress wounds because of its astringency (that is, it causes tissue to constrict). Today, it’s still used to prevent and treat gum disease and sometimes shows up in toothpaste and mouthwash. Myrrh can also be used in drinks and was sometimes added to wines and liquors for flavour. It’s used to make some brands of fernets, the Italian liqueur that’s a sort of unofficial national drink of Argentina.

Frankincense and myrrh may not be as popular as they once were, but they're still used today in some ways that you might not expect. They are common ingredients in modern perfumes and cosmetics, continuing a tradition that has lasted thousands of years. Scientists are finding new uses for the substances as well; recent studies suggest that frankincense may be beneficial to sufferers of asthma, rheumatoid arthritis, Crohn's disease, osteoarthritis and collagenous colitis. Researchers have also discovered possible benefits of myrrh in the treatment of gastric ulcers, tumors and parasites.5 It has recently been found that there is a synergistic antimicrobial effect when a combination of frankincense and myrrh oils are used.5 So perhaps frankincense and myrrh will make a comeback in the form of a pharmaceutical drug and will become just as expensive as gold yet again.
References
- A.O. Tucker, Frankincense and Myrrh. Economic Botany, 40(4), pages 425-433, 1986.
- M. Lemenih, D. Teketay, Frankincense and Myrrh resources of Ethiopia: II. Medicinal and Industrial Uses. Ethiopian Journal of Science, 25(2), pages 161-172, 2003.
- M.-T. Huang, V. Badmaev, Y. Ding, Y. Liu, J.-G. Xie, C.-T Ho. Anti-tumor and anti-carcinogenic activities of triterpenoid, beta-boswellic acid. BioFactors 13, pages 225-230, 2000.
- J. Bruneton, Pharmacognosy, Phytochemistry and Medicinal Plants, 2nd edition; Lavoisier Publishing: Paris, 1999.
- S. de Rapper, S.F. Van Vuuren, G.P.P. Kamatou, A.M. Viljoen, E. Dagne. The additive and synergistic antimicrobial effects of select frankincense and myrrh oils — a combination from the pharaonic pharmacopoeia. Letters in Applied Microbiology, 54, pages 352-358, 2012.