Snow: Making life possible in the Arctic
Chemistry and Inuit Life and Culture
Fall 2022 Special Edition, Chem 13 News Magazine
By Chaim Christiana Andersen and Geoff Rayner-Canham
In this series, we have shown the importance of ice coverage of the Arctic Ocean for Inuit survival.1 But equally important, particularly through the long, cold, winters, is the solid crystalline form of dihydrogen oxide – snow. For this article, we will look at the chemistry of snow and its importance in Inuit life.

Figure 1: Inuit woman in Okak, Nunatsiavut (possibly one of Chaim’s ancestors), packing snow blocks around her house as insulation, photo taken around 1910.2
Aputik – snow that fell/Kannik – snow falling
Just like ice, snow is an integral part of our lives for most of the year in the Arctic, I (Chaim) remember as a child, from the first big snowfall until the snow began to melt, myself and my siblings would play outside day and night either making tunnels through the snow and building snow inuksuit (plural of inuksuk), a human-like figure. ‘Real’ inuksuit are made of stone and are usually used as landmarks on hilltops, but we just loved building snow-inuksuk and snowmen.

Figure 2: Chaim’s home town of Nain in the winter. Nain is now the farthest north occupied Inuit community in Nunatsiavut. Credit: Chaim Andersen
Snow can be elegant with the big snowflake, light, sparkly snow falls. However, it can also be aggressive with the heavy snowstorms. Whether the snowfall was light on a still day, or heavy in swirling intense snowstorms, nothing stopped my siblings and I from going out and playing in the snow. We loved it and we still do. Snow is essential to our identity.
In nomadic times, snow was vital as a means of providing homes for Inuit. Using skilled techniques, passed down from generation to generation, hard packed blocks of snow were cut and fitted together into domed-shaped dwellings which we call an iglu. There were three categories of igluit (plural of iglu) that served different purposes: one made for housing purposes where families would sleep and eat; another which men would construct as temporary shelters while taking long hunting trips away from permanent settlements; and the third type, very large iglu made for recreational purposes, where the community would gather to play Inuit games and feast together.
When Inuit transitioned from building igluit to using cabins and houses, we used the snow instead to pack tightly against the walls to insulate our homes (Fig. 1). Like our ancestors, as children, we delighted in packing snow around our houses to see who could do it the fastest and pack the most. It must have been the easiest chore that I had ever done because the competition between us made it so fun!
Snow also plays a major role in winter-time travel. Without it there would only be land and ice, which would make for extremely difficult roads. However, because we do have snow, we are able to take our regular travel routes. Historically, Inuit traveled by Kimutsik (dog team) but today we travel by snowmobile.
Every year, at least twice a year (once in the summer and once in late winter), my family and I travel to the Okak Islands. These islands are where my grandparents, great grandparents and my ancestors before them lived, until they – and all the northern Labrador Inuit – were forcibly resettled to Nain, farther south, in 1956. When we visit Okak in the late winter, the weather is beginning to warm. It takes approximately four to six hours by snowmobile, mainly across snow-covered frozen ocean, to travel there (Figs. 3 and 4). Every day that we spend in Okak, we go out hunting or visiting old family homesteads.

Figure 3: Chaim, and her 4-year-old daughter Avery, in front of the Kiglapait Mountains, on their way to the Okak Islands. Credit: Chaim Andersen

Figure 4: Chaim and Avery travelling by snowmobile on the Kiglapait Mountains, showing the freedom to travel in the North with the arrival of snow. Credit: Chaim Andersen
The nature of snow
How do snowflakes form? High in the cold atmosphere, water molecules in the gas phase lose kinetic energy until the energy is less than the deposition hydrogen-bond energy into the solid phase. However, deposition requires the existence of tiny solid particles (that is, dust) as nuclei. Some of those particles are silicates, containing the tetrahedral silicate ion. The surface oxygen atoms of the silicate particles possess a partial negative charge; thus the partially positive hydrogen atoms of water molecules are attracted to an oxygen atom in the silicate ion, forming hydrogen bonds (Fig. 5).

Figure 5: Attraction between a silicate ion and a water molecule by means of hydrogen bonding.

Once this layer is deposited, subsequent low-kinetic-energy water molecules will hydrogen bond to the molecules already on the surface. Layer after layer will form. The formation of crystals usually produces solid structures such as the cubic sodium chloride crystals. Almost uniquely among solids, water molecules crystallize to form very open structures, which we call ‘snowflakes’.
Snowflakes are colourless and transparent, as Fig. 6 shows. It is internal light reflection which causes them to appear white. A snowflake is defined as a single ice crystal which has accreted enough water molecules to descend through the atmosphere under the influence of gravity. A snowfall, then, is the descent from the upper atmosphere of an incredibly large number of individual snowflakes.
Figure 6: A colourless transparent snowflake.3
Snow as insulation
As a result of the unique open crystal structure, snowflakes do not pack well together. This phenomenon results in one of the most important attributes of snow: its thermal insulation properties. Chemists and physicists usually report thermal data as thermal conduction, the opposite of thermal insulation. Thermal conduction is defined as the transport of energy due to random molecular motion across a temperature gradient. Thus, a high value of thermal insulation will have a very low thermal conduction (and vice versa).
We measure values of thermal conductivity in units of watts per metre per second. Some values at 25 °C are: air, 0.026 W·m-1·s-1; and copper, 384 W·m-1·s-1. For fresh snow, the thermal conductivity is about 0.03 W·m-1·s-1 which is lower than that of modern house insulation! The reason for the very low conductivity is not the ice crystals themselves, but all the air trapped in between the crystals.
Snow as building material

Figure 7: Not an iglu, but a snow-hut, built in Nutak by Chaim and her sisters out of the “old snow” as discussed in the article. Chaim and her youngest sister, Raine, are shown in front. Nutak was another Inuit settlement from which the population were forcibly expelled by the Provincial Government in 1956. Credit: Chaim Andersen
Inuit are well aware of the insulating properties and construction potential of snow, even though it is through qualitative experience, not numerical values. The powdery, fluffy snow is not suitable for building purposes. However, if the snow is wind-blown, the snow is compacted with the ice-crystals interlocking. This meshing provides mechanical strength while still having a significant proportion of air trapped within. For this ‘old’ snow, thermal conductivity is typically about 0.4 W·m-1·s-1 – still a good value for an insulator.4 Blocks of old snow can then be used as a building material (Figs. 7 and 8), sometimes carving out the blocks using an ulu.5

Figure 8: An Inuit family constructing an iglu using snow blocks, photo taken in 1924.6
Snow igluit are not spherical, but are built in a shape more closely resembling a paraboloid. The interior of the iglu is sufficiently warm that the interior snow surface of the shell melts, then refreezes, forming an ice layer, further strengthening the structure. A correctly-built iglu will support the weight of a person standing on the roof. The cross-section of an iglu is shown in the schematic below (Fig. 9).

Figure 9: Cross-section of a typical iglu.7
The depression, from which the blocks are cut, usually serves as the base of the iglu. A clear piece of ice serves as a window. The entrance- way, a short tunnel, is therefore below ground level. This design is of crucial importance. The habitability of the iglu relies upon the different density of cold and warm air, warm air being much less dense than cold air (in which the molecules have significantly less kinetic energy). Thus the interior of the iglu stays comfortably warm, even when the external temperature is bitterly cold.
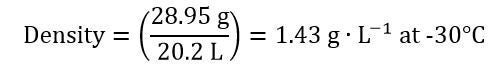
Calculation
We can calculate the difference in density of cold air outside (perhaps -30 °C) and warm air inside (often about +20 °C from body heat plus a small lamp).

The mean molar mass of air can be found knowing the molar composition of dry air as 78.1 per cent nitrogen, 21.0 per cent oxygen, and 0.9 per cent argon.
Mean molar mass = (28.0 g × 0.781) + (32.0 g × 0.210) + (40.1 g × 0.009) = 28.95 g [per mole of air mixture]
The molar volume at any temperature can be found from the Ideal Gas Equation, PV = nRT, where P is the pressure in kPa, V is the volume in litres, R is the gas constant 8.31 kPa·L·mol-1·K-1, and T is the temperature in Kelvin.
If the atmospheric pressure is 100 kPa, the temperature -30 °C, we can calculate the volume of a mole of air as:


Similarly, the density at +20 °C can be calculated as 1.19 g·L-1. A significant differential!
The Iglu as an Inuit cultural symbol
The iglu is recognizable by people around the world as a defining feature of the Arctic peoples. As the Arctic climate undergoes catastrophic warming, the skills of building an iglu will no longer be ones of necessity, but simply a means of reconnecting with the past. To illustrate the centrality of the iglu to the culture, the front portion of the Assembly Building of the Nunatsiavut Government is shaped in the form of an iglu (Fig. 10).

Figure 10: The front of the Nunatsiavut Assembly Building in Hopedale is shaped like a giant iglu. Credit: Shutterstock images
References
- Andersen, C.C.; Rayner-Canham, G. Sea Ice: Essential for Northern Survival. Chem 13 News, February 2019.
- From: Them Days magazine, credit S. K. Hutton, reproduced by permission of Aimée Chaulk, Editor.
- Wikipedia Commons. Macro photography of a natural snowflake. https://en.wikipedia.org/wiki/Snowflake#/media/File:Snowflake_ macro_photography_1.jpg.
- Sturm, M. et al. The Thermal Conductivity of Seasonal Snow. Journal of Glaciology 1997, 43, 26-41.
- Andersen, C.C.; Rayner-Canham, G. The Ulu: Chemistry and Inuit women’s culture,” Chem 13 News, March 2019.
- Wikipedia Commons. File:Inuit-Igloo P.png. Photograph shows Eskimos (Inuit) constructing an igloo with blocks of snow as children and dogs stand by. Dated 26 November 1924. https://upload. wikimedia.org/wikipedia/commons/8/84/Inuit-Igloo_P.png.
- Modified from: Wikipedia Commons. File:Igloo see-through sideview diagram.svg. https://commons.wikimedia.org/wiki/File:Igloo_see- through_sideview_diagram.svg.
Publisher's note: This article is a reprint from the December 2019 issue of Chem 13 News.