Airborne PM2.5 Filtration

To examine removal of airborne PM2.5 concentrations in the office environment by using particle-accelerated collision technology with semiconductor airborne contamination reduction


Energy & Environment

Skidmore, Owings & Merrill (SOM), Chicago

Description

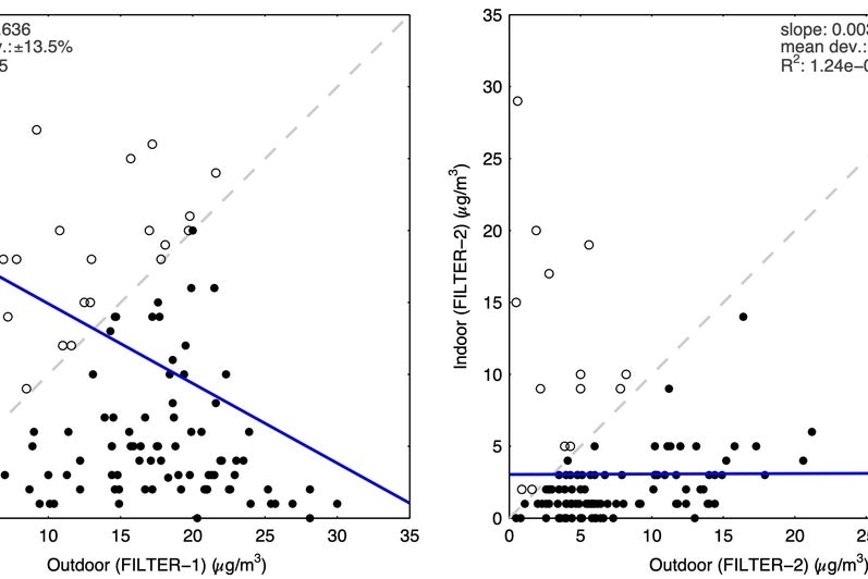
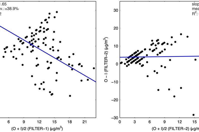
Air pollution is the cause of various health concerns. One of the predominant concerns originates from fine particulate matter of 2.5 μm (PM2.5) or less in diameter that is a by-product of chemical reactions in the atmosphere and fuel combustion. This project focuses on assessing a new air filtration enhancement technology in removing PM2.5 concentrations that functions by generating inelastic collisions among particles. In-situ monitoring were undertaken at the Skidmore Owings & Merrill office in Chicago. Outdoor PM2.5 concentrations have been reordered during high variability periods along with indoor-outdoor ratios (I/O) that have been classified by occupancy conditions. The results indicate the effectiveness of the new technology under all levels of human occupancy, especially in indoor-dominated conditions. This is significant in the office environment where occupant density varies depending on the time of the day and where re-circulated air is utilized by HVAC systems (as applied in North America).