Building Integrated PV

To optimize the design of BIPV through a parametric method suited for preliminary concept phase analysis


Energy & Environment

Natural Sciences and Engineering Research Council of Canada (NSERC)
Description

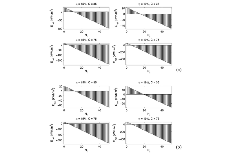
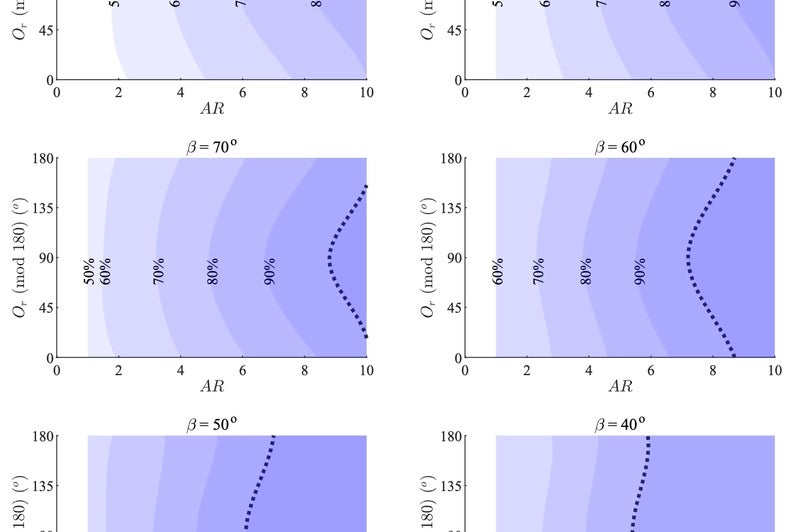
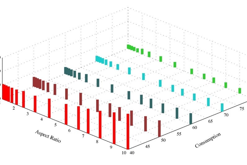
This project exploits the solar potential involved in the design and optimization of Renewable Energy systems in buildings. Specifically, the performance of Building Integrated PVs can be studied under a variety of parameters to develop an understanding on how joint optimization of building form with PVs can lead to different energy efficient measures, including net-zero criterion. Mathematical models are developed to synthesize data pertaining to building's consumption, height, aspect-ratio, surface-area-to-volume ratio, orientation, and the effect of PV tilt on energy targets. The project incorporates irradiance components and view factors calculated based on non-shaded isotropic surfaces and cumulative shading. Results indicates that higher aspect-ratios lead to improved energy performance. The impact of building height is well pronounced for net-zero energy at higher consumption levels. The negative effect of shading on performance can be offset by bringing tilts closer to site's altitude.