Surface to Volume Ratio in Buildings

To examine how building geometry impacts solar energy production and heat gain through envelopes


Technology & Design

Description

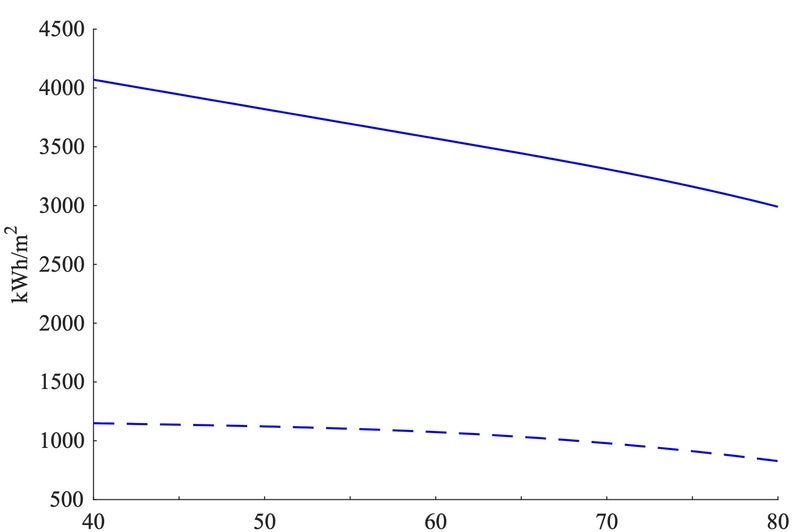
The relationship between building geometry and renewable energy production of its envelop is dependent on surface-to-volume ratio of the building. Heat gain can be viewed as conflicting constraint with respect to energy performance. The building façade can be mathematically analyzed by considering heat transfer pertaining to site conditions along with different parameters that included shading, orientation, renewable energy panel's tilts and surface-to-volume ratio as a measure of building compactness. Such study would involve calculating the impact of each parameter on the convection, conduction and radiation components of the incoming solar energy. Through this project, surface-to-volume ratio has been reported to be directly proportional to the amount of solar energy received by the façades and gained by the building in the form of heat.