Triple-Function Solar Collector

To design and optimize the performance of innovative solar collectors, enhancing multifunctionality and energy efficiency in thermal and electrical applications


Technology & Design

Description

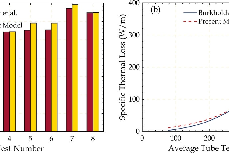
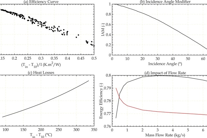
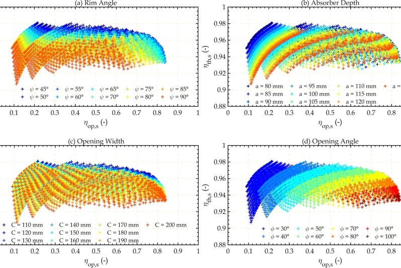
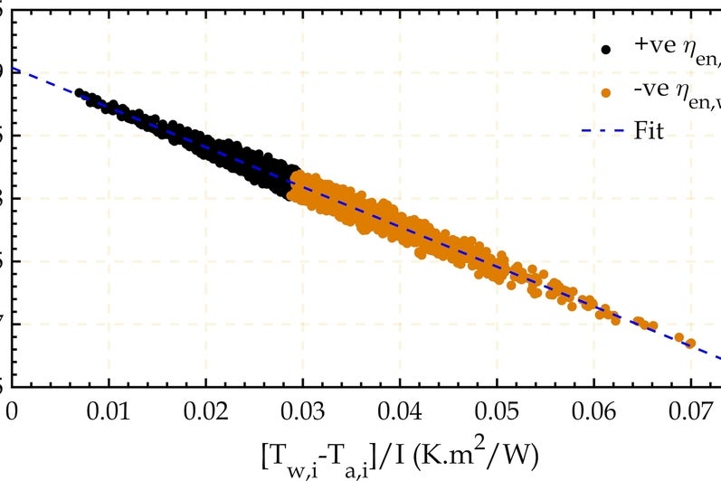
This project investigates advanced solar collector designs aimed at maximizing energy and exergy efficiencies through novel multifunctional configurations. It introduces a triple-function collector (TFC) capable of generating hot water, air streams, and electricity using a CPC-shaped collector integrated with photovoltaic cells and aerogel ducting. Numerical simulations reveal the TFC achieves superior overall energy efficiency (up to 89.1%) and exergy efficiency (14.2%) compared to traditional single- and dual-function designs. Other investigations focus on a new cavity receiver design for parabolic trough concentrators, optimizing geometrical and operational parameters. Results demonstrate that adjusting receiver dimensions based on flow rates and temperatures can yield maximum energy and exergy efficiencies of 80.5% and 40.7%, respectively. Together, these studies highlight the potential of innovative solar collector designs in both residential and commercial applications, driving the future of sustainable energy solutions.