Editor:
Brandon Sweet
University Communications
bulletin@uwaterloo.ca
Take that, Uncertainty Principle: bringing reliability to quantum experiments
Researchers from the Department of Applied Mathematics and the Institute for Quantum Computing have developed a versatile new way of controlling quantum systems that can affect the reliability of experiments.
To develop quantum technologies, it is critical to first build capabilities to control extraordinarily fragile quantum systems. The Waterloo team found a way to control a quantum system without exposing it to vibration or other interference.
The new technique was published in Physical Review A.

“The idea is to avoid interacting with a quantum system directly,” said David Layden, a master’s student in the Faculty of Mathematics at Waterloo and lead author of the paper. “Instead, you introduce a second, so-called auxiliary quantum system, such as an atom, for example. You then manipulate it and use it to indirectly affect, and ultimately control, the main system.”
Researchers have already used indirect approaches to manipulating quantum systems in several different experiments. But the techniques they used differed based on the particular laboratory setup involved. Each new type of experiment required a different technique.
Now, the Waterloo researchers’ one-size-fits-all method of indirectly controlling quantum systems is applicable to any experiment. It involves soft, frequent touches to the main system from the auxiliary one, which allow researchers to freely steer a quantum system while keeping its quantum nature intact.

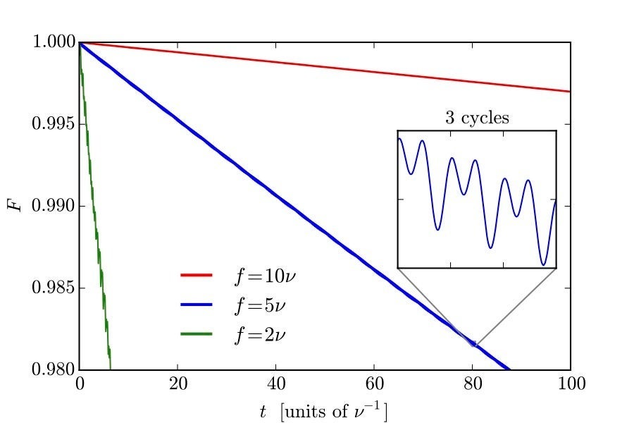
This figure shows the accuracy of the new technique for different rates of interaction between the main and auxiliary quantum systems.
“These touches are strong enough to fully control the target quantum systems, but short enough to avoid destroying their quantum properties,” said Professor Eduardo Martin-Martinez, of both the Department of Applied Mathematics and Institute for Quantum Computing, and a co-author of this work.
“To achieve this level of control, we must use an auxiliary system that also possesses quantum properties,” said Professor Achim Kempf, University Research Chair in the Department of Applied Mathematics, and co-author of the study.
The new technique could play an important role in a number of quantum technologies, which in turn, promise to impact a wide range of fields, from high performance computing to pharmaceutical drug discovery.
Science outreach event shows how Kitchener rocks
Science Outreach and the University of Waterloo's Earth Sciences Museum are inviting members of the University community to join them for a "Rock Around Kitchener" as part of this year's Jane's Walk initiative.
Rock Around Kitchener is a unique tour of Kitchener's geologic history as told by its buildings. "Although Kitchener has only been recognized as a city since 1854, its roots may be traced back much further," says a note about the event. "Ancient rocks may be found in the buildings and surrounding landscape throughout this gorgeous city. Join Peter Russell, Laura Scaife and Alisia Mar from the Earth Sciences Museum on a tour through Kitchener's geological history, as displayed in buildings and other stonework."
The event takes place on Friday, May 6, with noon and 2:30 p.m. start times outside the Queen Street entrance of the Kitchener Public Library.
Aging research symposium SoARs to new heights
The Network for Aging Research is hosting a one-day Symposium on Aging Research (SoAR), an interdisciplinary forum for graduate student research with a focus on aging.
The symposium aims to provide its participants with an opportunity to engage with graduate student research beyond disciplinary and professional boundaries and across areas of expertise. Attendees will network across disciplines and professions, initiate trans-departmental collaborations, and engage in integrative conversations on aging research.
Graduate students from several disciplines will present, dialogue, and learn about current research on processes, experiences and systems related to aging.
Kenneth Murray, philanthropist and founder of the Murray Alzheimer Research and Education Program (MAREP) will deliver this year’s keynote address.
Also on the agenda are rapid-fire presentations, micro-oral presentations, speed networking, and an evening social.
Professor James Tung will deliver the closing plenary.
The symposium takes place Friday, May 6 in the Davis Centre.
Conrad to be installed as Renison's chancellor
Renison University College will be investing Manfred Conrad as its 9th Chancellor on Saturday, May 7 at its 57th Founders' Day event.

During the convocation portion of the event, Dr. Manfred Conrad will be formally invested, succeeding The Right Reverend D. Ralph Spence.
Conrad is the CEO and founder of The Cora Group and a founding member of Communitech. He supports many initiatives and institutions within the Kitchener-Waterloo community including The Conrad Business, Entrepreneurship and Technology Centre at Waterloo, the Manfred and Penny Conrad Institute for Music Therapy and Research at Wilfrid Laurier University, and the Conrad Centre for the Performing Arts.
Bishop Spence will be installed as Chancellor Emeritus in recognition of his dedicated and strong leadership to the Renison community, serving as Chancellor for two terms beginning in 2008.
Thursday's notes

President Feridun Hamdullahpur hosted US Ambassador to Canada Bruce Heyman yesterday morning. The pair spoke about post-secondary education and Heyman toured the Institute for Quantum Computing (IQC). The ambassador was in Waterloo to deliver a speech at CIGI.
The University of Waterloo Staff Association (UWSA) is accepting applications for the Staff Enhancement Grant (SEG).
The purpose of the SEG is to help cover the costs associated with the pursuit of personal development for staff for initiatives not directly related to job duties. All UWSA members are eligible to apply for a SEG.
Applications will be judged on the basis of the overall merit of the objectives, activities, and benefits to the individual, and the community.
The next application deadline is June 1, 2016. For an application form and terms of reference please visit the UWSA website. Please direct any questions to Catherine in the UWSA office by calling extension 33566 or by sending an e-mail to lbolger@uwaterloo.ca.
The Keystone Picnic is just over a month away, and in anticipation of the event, the Keystone Campaign is inviting members of the University community to take the Keystone Trivia Quiz for a chance to win $100. The winner will be announced at the Keystone Picnic on June 3.
Waterloo Leather Jacket Day is just around the corner, with Retail Services offering an opportunity for University community members to express their originality and school spirit by designing their very own Waterloo jacket. Leather Jacket Day is scheduled for Thursday, May 12 from 10:00 a.m. to 3:00 p.m. in the South Campus Hall concourse.
The jacket comes with the University's crest on the front, with two options available, and on the back, "University of Waterloo" is emboldened. Jackets can be customized to display year of convocation, degree, or both on the jacket sleeves. The back of the jacket can be customized to display any faculty name. Both women and men styles and sizes are available.
The original section of Burt Matthews Hall (BMH) will be without domestic hot water on Friday, May 6 from 6:00 a.m. to 8:00 a.m. as service to the hot water system undergoes maintenance.
Link of the day
Philip Kives, founder of K-Tel, dies
When and where
Centre for Teaching Excellence workshop, CTE914: Teaching Dossiers and Philosophy Statements, Thursday, May 5, 10:00 a.m. to 1:00 p.m., EV1-241.
Free KSI Making & Tasting Kimbap Event 김밥 만들기, Thursday, May 5, 11:00 a.m., Renison Academic Hallway (outside the Lusi Wong Library).
Chemistry Department Seminar Series featuring Professor Christoph Schneider, Institut für Organische Chemie, Universität Leipzig, “Exploiting the Chemistry of ortho-Quinone Methides – Applications in Heterocycle Syntheses”, Thursday, May 5, 2:30 p.m., C2-361.
Symposium on Aging Research, Friday, May 6, 8:00 a.m. to 4:30 p.m., DC 1301.
Waterloo Earth Day and grand opening of Westmount Sports Park, Saturday, May 7, 1:00 p.m., Westmount Sports Park.
University Club Mother's Day Brunch, Sunday, May 8, 11:00 a.m. to 2:00 p.m., University Club.
Writing Centre workshop, "Clarity in Scientific Writing," Tuesday, May 10, 2:30 p.m. to 4:30 p.m.
WatRISQ Seminar by Professor Luis Seco, University of Toronto; and President and CEO, Sigma Analysis & Management, “The Mathematics of Hedge Fund Fees,” Tuesday, May 10, 4:00 p.m., M3 3127.
Writing Centre workshop, "Getting Published," Wednesday, May 11, 12:30 p.m.
Chemistry Department Seminar Series featuring Professor Nazir Kherani, Department of Materials Science & Engineering, University of Toronto, “Photonic Crystals and Low-Temperature Passivation: Towards High-Efficiency Ultra-Thin Silicon Photovoltaics”, Wednesday, May 11, 1:30 p.m., C2-361.
Retirement celebration for Maureen Nummelin,Wednesday, May 11, 4:00 to 6:00 p.m., University Club. Everyone is welcome – please RSVP by April 29.
Public lecture featuring Dick Peltier, University of Toronto, "Ocean turbulence and global climate variability in the ice-age," Wednesday, May 11, 7:00 p.m., EIT 1015.
Leather Jacket Day, Thursday, May 12, 10:00 a.m. to 3:00 p.m., South Campus Hall concourse.
Geographical and Geological Setting of Korean Peninsula – A Spatial, Temporal and Cultural Overview, Thursday, May 12, 12:00 p.m., REN 2106.
Writing Centre workshops, "Creating assertion-evidence presentations,"Thursday, May 12, 1:30 p.m.
David Sprott Distinguished Lecture featuring Martin Wainwright, "Some new phenomena in high-dimensional statistics and optimization," Thursday, May 12, 4:00 p.m., DC 1302.
Waterloo Unlimited Grade 10 - Change, Sunday, May 15 to Thursday, May 19.
Centre for Teaching Excellence workshop, CTE601: Instructional Skills Workshop (24 hours), Monday, May 16 to Wednesday, May 18, 8:30 a.m. to 4:30 p.m., EV1-241.
Writing Centre workshop, "Literature reviews for grads (Part A): Organizing research,"Monday, May 16, 11:30 a.m.
Senate meeting, Monday, May 16, 3:30 p.m., NH 3407.
Writing Centre workshop, "Say it in your own words: Paraphrase & summary," Tuesday, May 17, 10:30 a.m.
Caregiving for aging parents and other family members - Opportunities and unmet challenges, Thursday, May 19, 11:00 a.m., LHI 1621.
Victoria Day holiday, Monday, May 23.
Waterloo Region MED TECH Bridging the Gap 2016 - Inaugural Meeting, Wednesday, May 25, 7:30 a.m. to 4:00 p.m., Grand River Hospital, Freeport Campus. Co-hosted by the Centre for Bioengineering and Biotechnology (CBB).
Belonging: Diversity, Community Capacity & Contribution - An Evening with The Right Honourable Adrienne Clarkson, Wednesday, May 25, 6:00 p.m., Humanities Theatre.
You @ Waterloo Day, Saturday, May 28, various locations on campus.
Undergraduate School on Experimental Quantum Information Processing (USEQIP), Monday, May 30 to Friday, June 10, Quantum-Nano Centre.
PhD oral defences
Chemical Engineering. Abdul Razik, "Modeling and Optimization of Biomass Supply Chain for Energy, Chemicals and Materials Productions." Supervisors, Ali Elkamel, Leonardo Simon. On deposit in the Engineering graduate office, PHY 3003. Oral defence Monday, May 9, 2:00 p.m., E6 2022.
Combinatorics & Optimization. Michael Szestopalow, "Matchings and Covers in Hypergraphs." Supervisor, Penny Haxell. Thesis available on MGO - mgo@uwaterloo.ca. Oral defence Monday, May 9, 2:30 p.m., MC 6486.
Kinesiology. Kathleen Di Sebastiano, "Glucose Metabolism in High-Risk Prostate Cancer Patients throughout the Acute Disease Trajectory." Supervisor, Marina Mourtzakis. On display in the Faculty of Applied Health Sciences, BMH 3110. Oral defence Wednesday, May 11, 12:00 p.m., BMH 3119.
Chemistry. Saurabh Srivastava, "Defect-Rich Size-Selected Nanoclusters and Nanocrystalline Films of Titanium (IV) Oxide and Tantalum (IV) Oxide for Efficient Photocatalyst and Electroforming-Free Memristor Applications." Supervisor, Kam Tong Leung. On deposit in the Faculty of Science graduate office, PHY 2008. Oral defence Wednesday, May 11, 2:00 p.m., C2 361.